段曦东教授团队在二维电子器件电介质领域取得新进展
通讯员: 发布时间:2026-03-02 浏览量:次
二维半导体凭借原子级厚度、高迁移率、无悬空键等优异特性,被认为是突破硅基半导体物理极限的核心候选材料之一。实现原子级薄高κ电介质层与二维半导体的高质量无损集成,是二维半导体器件微型化、高性能化的关键,直接决定了器件的开关效率与功耗。当前,多数候选电介质材料需要经过转移过程才能与二维半导体结合,易引入缺陷、破坏界面完整性;传统电介质材料难以在二维半导体的惰性表面实现高质量生长,界面相容性差、缺陷密度高,严重制约了领域发展。
针对这一关键挑战,段曦东教授团队提出了范德华外延生长策略,成功在2D半导体(如p型WSe₂,n型MoS₂)表面实现了单晶Sb₂O₃电介质的定向生长。团队采用两步法工艺解耦成核与外延过程,诱导单向排列的Sb₂O₃晶畴成核、拼接,在不到两分钟的生长时间内制备出均匀性优异的单晶薄膜。
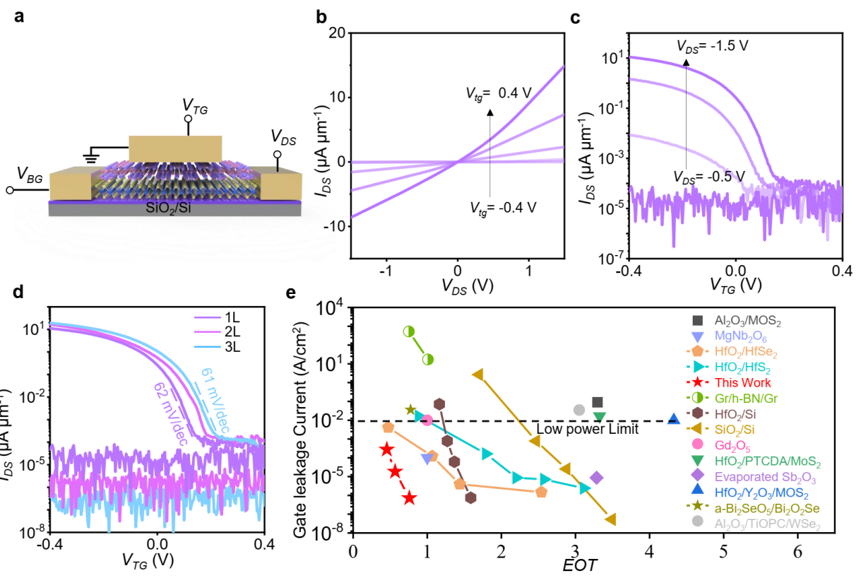
性能测试表明,单层Sb₂O₃介电常数达到6,击穿场强约为11 MV·cm⁻¹,界面陷阱密度低至3.8×10¹⁰ cm⁻²·eV⁻¹。基于单层Sb₂O₃/双层WSe₂异质结构(EOT仅0.4 nm)构建的顶栅场效应晶体管,其亚阈值摆幅低至62 mV·dec⁻¹,开关比高达10⁶,栅漏电流仅为10⁻⁴ A·cm⁻²。此外团队制备的60个顶栅WSe₂晶体管阵列成品率达95%,构建的互补逻辑反相器在1 V电源电压下最大电压增益达13,验证了技术可扩展性。
研究成果以“Epitaxially-grown single-crystalline antimony trioxide dielectrics for two-dimensional electronics”为题发表于Nature Electronics。全彩H漫
为论文第一单位,段曦东教授、李佳教授、吴瑞霞副教授为论文共同通讯作者,全彩H漫
博士生张紫媚、半导体全彩H漫张正伟教授为论文共同第一作者。

图1 薄层单晶Sb2O3的介电特性。

图2 外延生长的1-3层Sb2O3/WSe2顶栅场效应晶体管特性。